Ответы
Ответ дал:
0
Ответ:
пусть фотомас
Объяснение:
зато решение
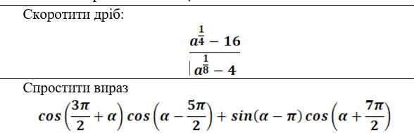
Приложения:


Вас заинтересует
1 год назад
1 год назад
3 года назад
3 года назад
8 лет назад