• Предмет: Алгебра
  • Автор: mg2570876
  • Вопрос задан 2 года назад

Даю 50 балов
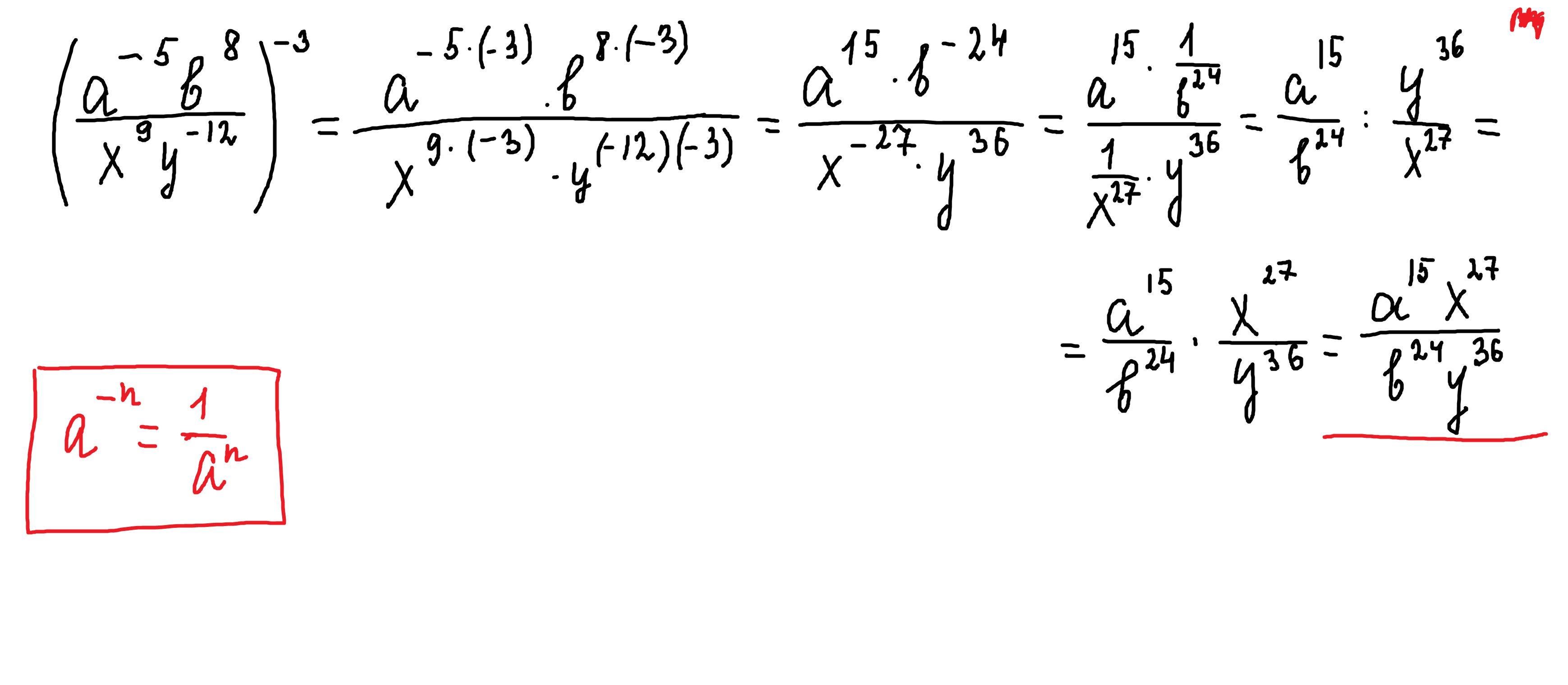
Представить в виде примера который не содержит степени с отрицательным показателем​

Приложения:

Ответы

Ответ дал: parus77
0

Ответ:

Объяснение:

решение внизу

при возведении степени в степень показатели перемножаются

Приложения:
Вас заинтересует