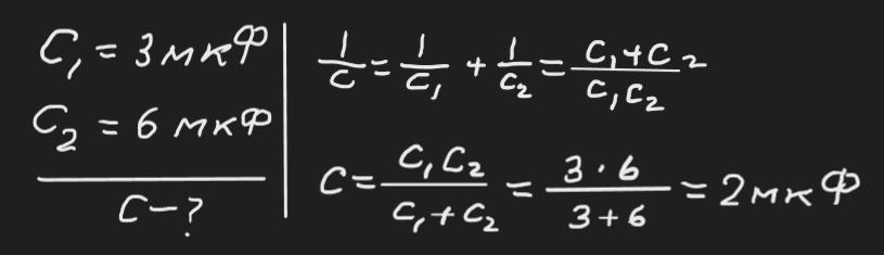
Конденсатори з ємностями 3 мкФ та 6 мкФ з’єднані послідовно. Знайти загальну ємність.
Виберіть одну відповідь:
a. 0,2 мкФ
b. 2 мкФ
c. 9 мкФ
d. 4,5 мкФ
Ответы
Ответ дал:
0
Відповідь: b. 2 мкФ
Пояснення:
Приложения:

Вас заинтересует
1 год назад
1 год назад
1 год назад
1 год назад
3 года назад
8 лет назад