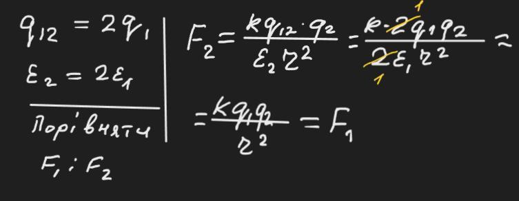
Як зміниться сила взаємодії між двома точковими зарядами, якщо один із зарядів збільшити в 2 рази, а також діелектричну проникність середовища збільшити в 2 рази?
Ответы
Ответ дал:
0
Відповідь: Не зміниться
Пояснення:
Приложения:

Вас заинтересует
1 год назад
1 год назад
1 год назад
3 года назад
3 года назад
8 лет назад