• Предмет: Физика
  • Автор: Lilemmays
  • Вопрос задан 2 года назад

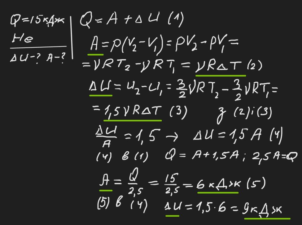
Гелій в посудині ізобарно розширюється внаслідок підведення до нього
15 кДж теплоти. Визначити зміну внутрішньої енергії газу та виконану ним
роботу.

Ответы

Ответ дал: zybkov1950
2

Відповідь:   зміна внутрішньої енергії = 9 кДж;  

виконана робота = 6 кДж

Приложения:

Cohendd: Супер))
Cohendd: Спамщиков проверяю...
Вас заинтересует