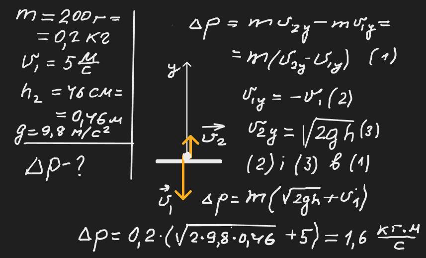
Кулька масою 200 г що падала вертикально, вдарилась об підлогу зі швидкістю 5 м/с і підстрибнула на висоту 46 см. Знайти зміну імпульсу кульки під час удару.
Ответы
Ответ дал:
1
Дано:
m=0,2kr;
V=5M/C;
h=0,08м.
dP=?
© 37 # 3.1
Решение:
dP=P-PO=m*V-m*VO;
dP=m*V-m*(-VO)=m*V+mVO=m*V+VO);(1)
T.K.
Ek=En, в момент удара,то:
(m*V0^2)/2=m*g*h;
m*V0^2=2m*g*h;
VO^2=2*g*h;
VO=v(2*g*h);
Подставим в (1):
dP=m*(V+v(2*h*g));
dP=1,25 kr*M/C.
m=0,2kr;
V=5M/C;
h=0,08м.
dP=?
© 37 # 3.1
Решение:
dP=P-PO=m*V-m*VO;
dP=m*V-m*(-VO)=m*V+mVO=m*V+VO);(1)
T.K.
Ek=En, в момент удара,то:
(m*V0^2)/2=m*g*h;
m*V0^2=2m*g*h;
VO^2=2*g*h;
VO=v(2*g*h);
Подставим в (1):
dP=m*(V+v(2*h*g));
dP=1,25 kr*M/C.
Ответ дал:
3
Відповідь: 1,6 кг·м/с
Пояснення:
Приложения:

Вас заинтересует
1 год назад
1 год назад
1 год назад
8 лет назад
8 лет назад