Ответы
Ответ дал:
1
Ответ:
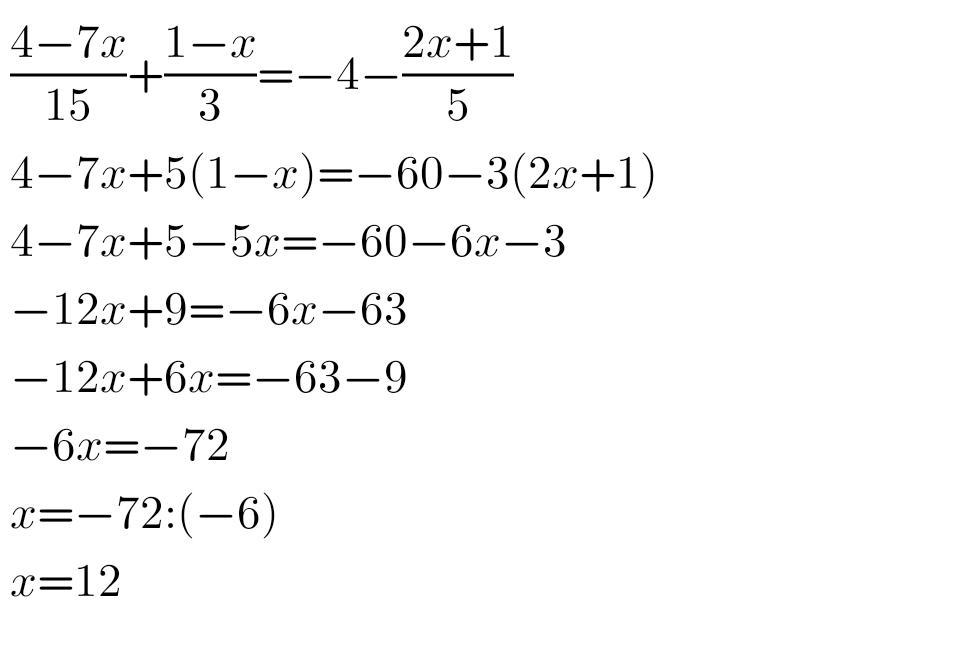
Пошаговое объяснение: приравняем два выражения и полученное равенство домножим на 15 (на общий знаменатель всех дробей выражения)
Приложения:

grypakrovi:
так мне решать не надо, надо пробел заполнить
Вас заинтересует
1 год назад
1 год назад
1 год назад
1 год назад
3 года назад
8 лет назад
8 лет назад