• Предмет: Физика
  • Автор: Masha7kaka
  • Вопрос задан 2 года назад

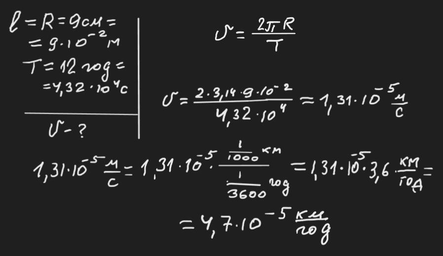
Довжина хвилинної стрілки настінного годинника 9см. Яка швидкість руху кінця цієї
стрілки відносно циферблата?(відповідь подайте у м/с та км/год) хелп бо мені дуже треба даю 70 балів пж

Ответы

Ответ дал: zybkov1950
2

Відповідь: Див. додаток

Пояснення:

Приложения:
Вас заинтересует