• Предмет: Математика
  • Автор: ilovetheinternet22
  • Вопрос задан 2 года назад

Пж помоги с 3-5-7-9

Приложения:

Ответы

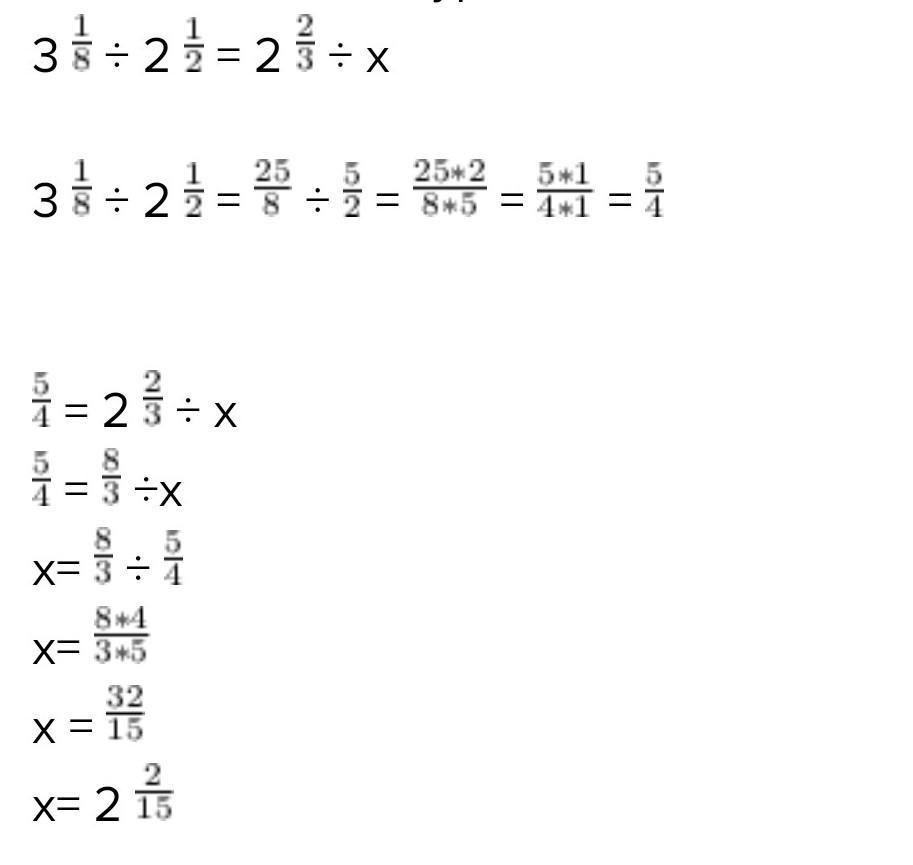
Ответ дал: YaGeniyBezNi
1

3. В)

только это, дальше не

Ответ дал: cuddliesgirl
2

Ответ:

5.12.6 : 0.6 = 21

17.6 : 0.8 = 22

21 ≠ 22

Відповідь: 12:0.6 ≠ 17.6:0.8 і не є пропорцією

7.161 * 100%/140 = 115 %

115% - 100% = 15% - на столько повысилась цена

8. фотку добавлю

9.69%

Приложения:
Вас заинтересует