• Предмет: Математика
  • Автор: Josefina34
  • Вопрос задан 2 года назад

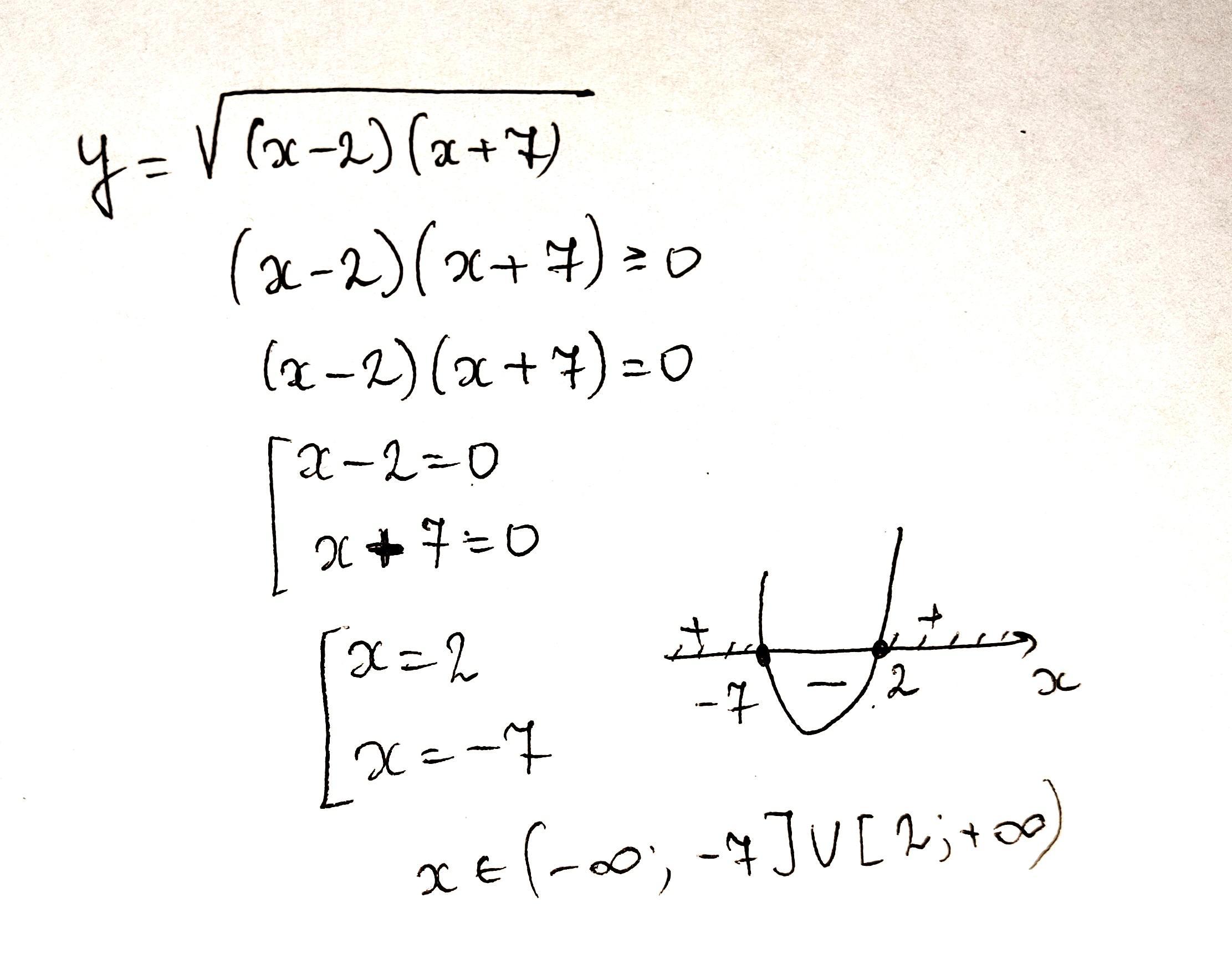
При якому значенні x вираз √(x-2)(x+7) має значення?

Ответы

Ответ дал: simonenkoag1989
1

Пошаговое объяснение: смотрите фото

Приложения:
Вас заинтересует