Ответы
Ответ дал:
1
Відповідь А
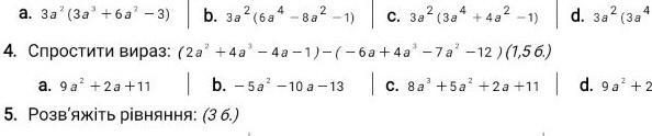
Розкриваємо дужки
2а^2+4а^3-4а-1+6а-4а^3+7а^2+12
Скорочуємо протилежні доданки
9а^2+2а+11
^ це означає степень
^2 в квадраті
^3 в Кубі
Розкриваємо дужки
2а^2+4а^3-4а-1+6а-4а^3+7а^2+12
Скорочуємо протилежні доданки
9а^2+2а+11
^ це означає степень
^2 в квадраті
^3 в Кубі
Вас заинтересует
2 года назад
2 года назад
2 года назад
3 года назад
3 года назад
9 лет назад