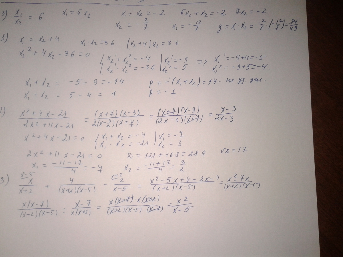
ПОМОГИТЕ!!!! АЛГЕБРА, 8 класс, задание см. во вложениях, если можно, решения добавлять во вложения, СРОЧНО!!!!!!!!!!!!
Приложения:
Ответы
Ответ дал:
0
.,,,,,,,,,,,,,,,,,,,,,,,,,,,,,,,,,,,,,,,,,,,,,,,,,,,,,,,,,,
Приложения:

Ответ дал:
0
Ты можешь ещё раз загрузить изображение, а то у меня не открывается( уже несколько раз пробовала)
Ответ дал:
0
Ты не могла бы первые 5 заданий расписать подробнее, а то мне не совсем ясно, откуда ты что взяла!!! ПОЖАЛУЙСТА!!!!
Ответ дал:
0
"""""""""""""""""""""""""""""""""
Приложения:




Ответ дал:
0
Привет!
Ответ дал:
0
Поможете?
Ответ дал:
0
http://znanija.com/task/5124139
Вас заинтересует
2 года назад
8 лет назад
8 лет назад
10 лет назад
10 лет назад