• Предмет: Алгебра
  • Автор: dmota1901
  • Вопрос задан 2 года назад

Решите пожалуйста даю 300 баллов
СОР алгбера 1-вариант ​

Приложения:

Ответы

Ответ дал: tydretx
1

Ответ:

1.а (или незнаю точно там не видно)

2.а

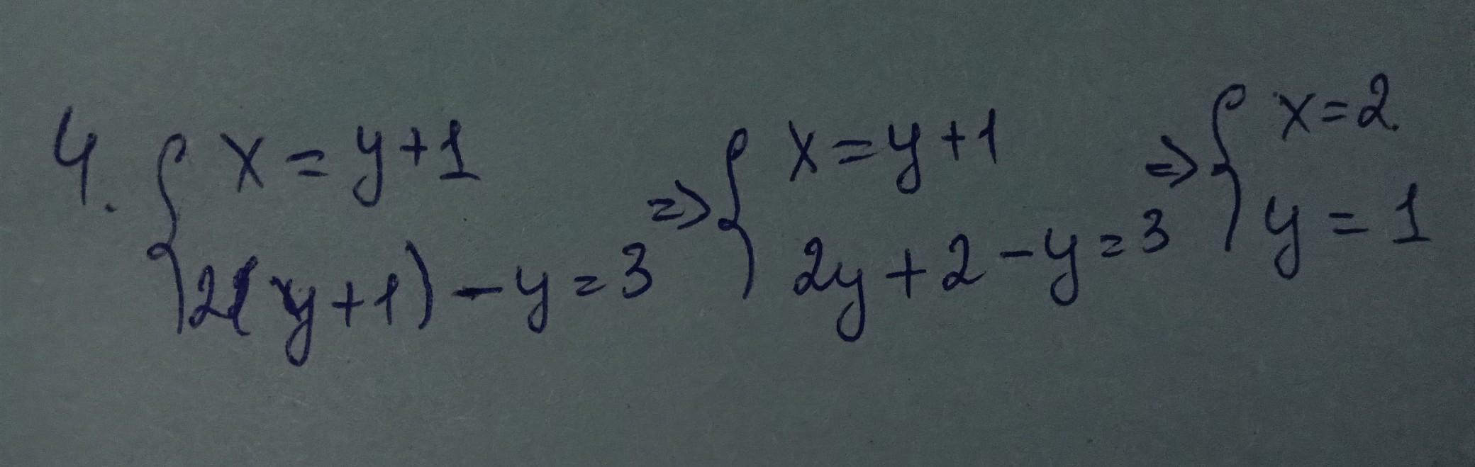
3. 1-а 2-б 3-д 4-с

5. думаю правильно. потому что там полностью не видно сорян кнч.

Объяснение:

дайте лучший ответ:)

Приложения:

dmota1901: Спс блин помоги с 5 пжшка
dmota1901: могу еще 100 балов дать
tydretx: не видно там
dmota1901: а там дано не дано надо?
tydretx: кня
tydretx: ч*
dmota1901: го я отдельный вопрос задам на 100 балов и ты ответигь фулл 5 пж?))))
tydretx: го
Вас заинтересует