• Предмет: Алгебра
  • Автор: dmota1901
  • Вопрос задан 2 года назад

5-ое задание 1 вариант ​

Приложения:

Ответы

Ответ дал: tydretx
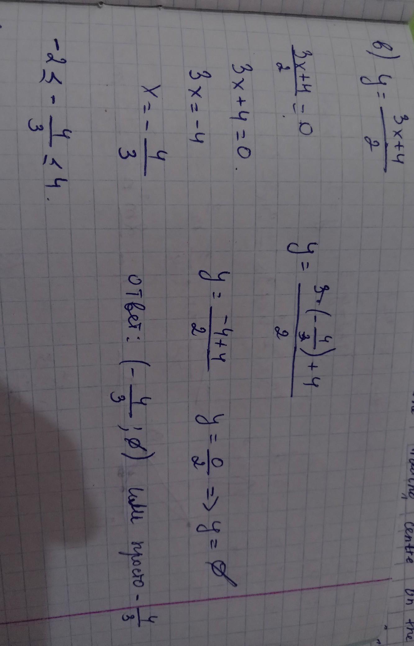
1

Ответ:

на первом фоте то что вверху(1 и 2), а на втором снизу.(b)

Объяснение:

можешь просто написать так как тут написано. думаю понятно:)

Приложения:

dmota1901: а дано?)))
tydretx: думаю и так правильно без дано
tydretx: там наверно написано что то вроде найди у потом х
Вас заинтересует