• Предмет: Математика
  • Автор: windssx
  • Вопрос задан 2 года назад

Помогите пожалуйста даю 20 баллов​

Приложения:

Ответы

Ответ дал: jekadva
0

Ответ:

Пошаговое объяснение:

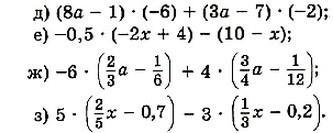
д) (8a - 1)*(-6) + (3a - 7) *(-2) = -48a + 6 - 6a + 14 = -54a + 20

е) -0,5*(-2x + 4) - (10 - x) = x - 2 - 10 + x = 2x - 12

ж) -6*(2a/3 - 1/6) + 4*(3a/4 - 1/12) = -4a + 1 + 3a - 1/3 = -a + 2/3

з) 5*(2x/5 - 0,7) - 3*(1x/3 - 0,2) = 2x - 3,5 - x + 0,6 = x - 2,9

Вас заинтересует