• Предмет: Математика
  • Автор: arslanuxukbaev12
  • Вопрос задан 2 года назад

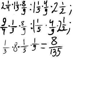
2 1/4 × 1 1/3 × 8/9 / 1 1/5 × 4/9 × 2 1/2 помогите пожалуйста ​

Ответы

Ответ дал: Аноним
1

Ответ:

На фото ниже, извини за качество у меня пока-что нету возможности писать на бумаге ((

Пошаговое объяснение:

Приложения:
Вас заинтересует