• Предмет: Алгебра
  • Автор: lavandara
  • Вопрос задан 2 года назад

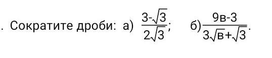
помогите пжэшки!
срочно​

Приложения:

Ответы

Ответ дал: manyny06
0

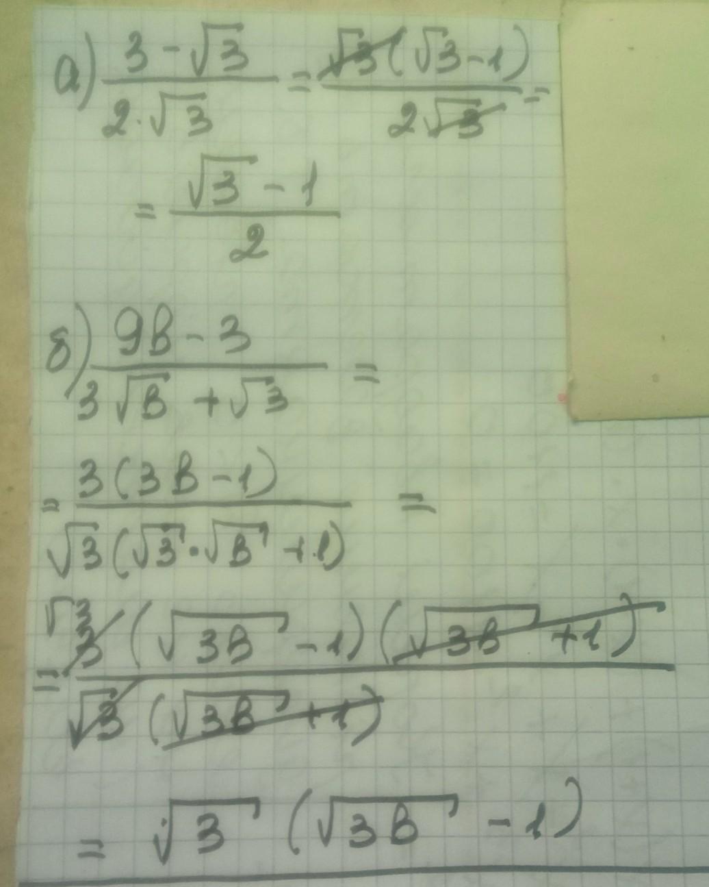
Ответ:

решение смотри на фотографии

Приложения:
Вас заинтересует