• Предмет: Алгебра
  • Автор: Serikkazy
  • Вопрос задан 2 года назад

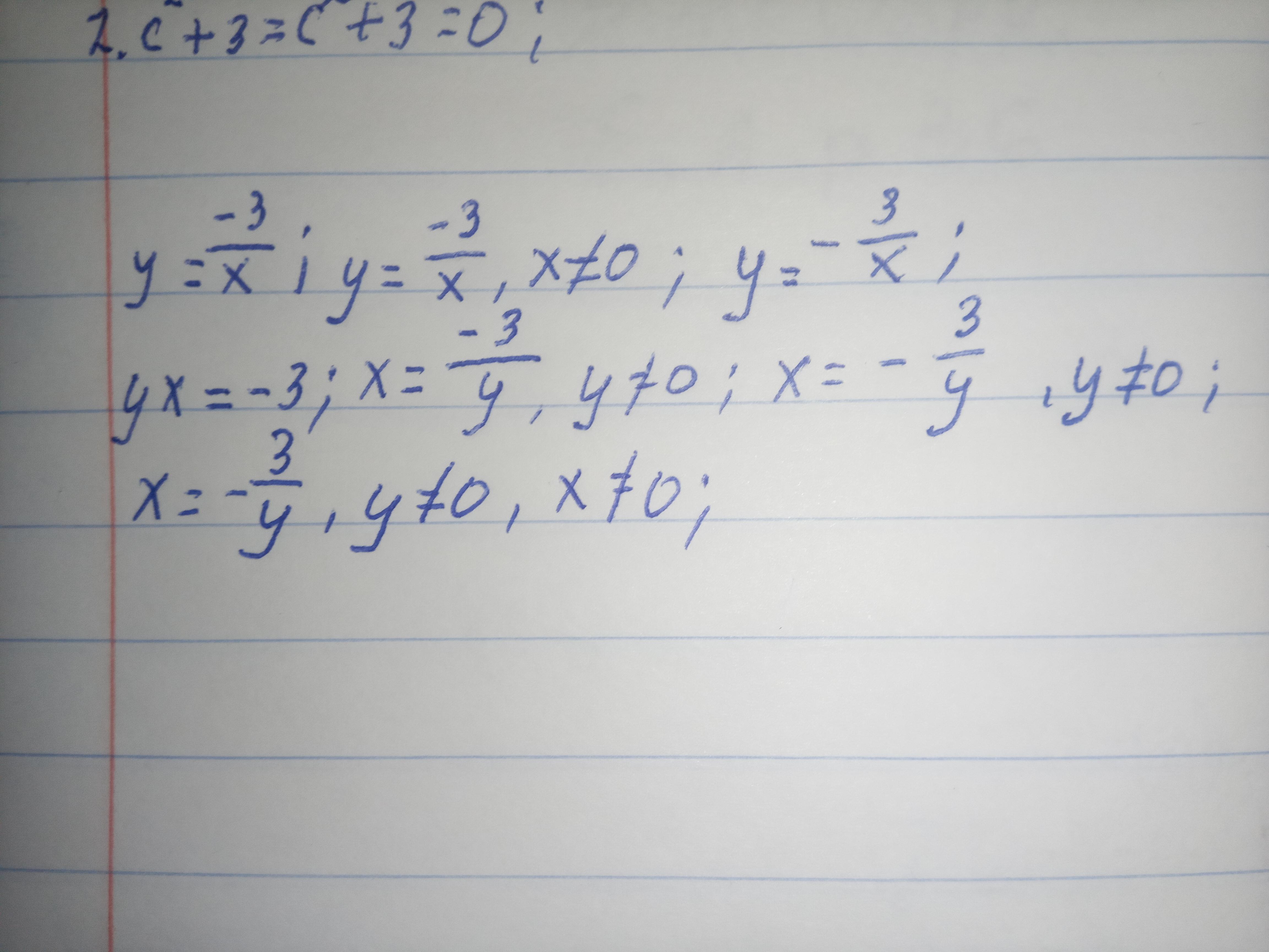
y=-3/x графигін сал..

Ответы

Ответ дал: Аноним
0

Ответ:

Каждое « ; »пиши с нового рядка) Думаю я тебе хоть немного помогла)

Объяснение:

Приложения:
Вас заинтересует