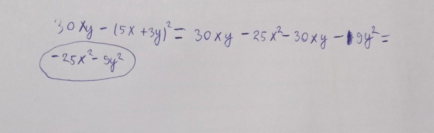
ПОМОГИТЕ, СРОЧНО НУЖНО! Спростіть вираз 30xy-(5x+3y)² 25х²+9y² 60xy-25x² +9y² -25x² -9y² 60xy-25х² -9y²
Приложения:
                     
                            Ответы
                                            Ответ дал: 
                                                                                            
                                                    
                                                
                                                                                    
                                        
                                            
                                                
                                                
                                                
                                                    2
                                                
                                            
                                        
                                    Ответ:
Ответ :-25x^2-9y^2
Объяснение:
3-ий сверху
                    agentbokser:
                    Спасибо!
                
            
                                            Ответ дал: 
                                                                                    
                                        
                                            
                                                
                                                
                                                
                                                    1
                                                
                                            
                                        
                                    вот ответ.будет третий вариант
Приложения:
                     
                            
                    
                    Спасибо!
                
            Вас заинтересует
                
                        1 год назад
                    
                
                        1 год назад
                    
                
                        1 год назад
                    
                
                        3 года назад
                    
                
                        8 лет назад
                    
                
                        8 лет назад