• Предмет: Математика
  • Автор: anaabobus983
  • Вопрос задан 2 года назад

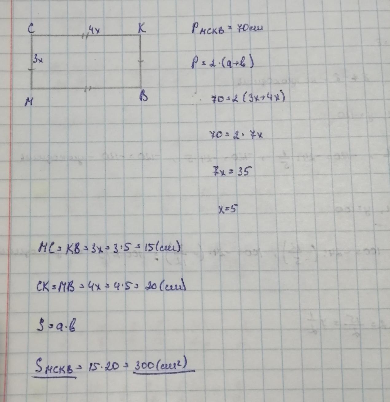
Знайти площу прямокутника МСКВ, якщо МС СК = 3 : 4, периметр прямокутника дорівнює 70 см.

Ответы

Ответ дал: Kristina099999
1

Ответ:

Пошаговое объяснение:

Приложения:
Вас заинтересует