• Предмет: Математика
  • Автор: gamza7554
  • Вопрос задан 2 года назад

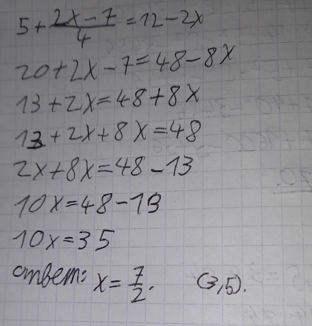
5x+(2x-7):4=12-2x Срочно помогите​

Приложения:

Ответы

Ответ дал: shorom
0

Ответ:

смотри на фото

Пошаговое объяснение:

подпишись пж

Приложения:

gamza7554: Там в примере с начала 5 x исправь пж
Вас заинтересует