• Предмет: Физика
  • Автор: annakorzhan4444
  • Вопрос задан 2 года назад

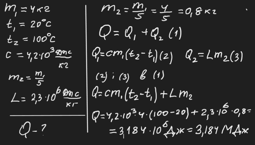
воду масою 4 кг , взятої 20c нагріли до кіпіння і п'яту. частину перетворили в пару. скільки теплоти потрібно затратити при цьому? (!!!напишіть не тільки відповідь, а і дії!!!)​

Ответы

Ответ дал: zybkov1950
1

Відповідь: 3,184 МДж

Пояснення:

Приложения:
Вас заинтересует