На прямой,проходящей через точки А(11;15) и В(2;3),найдтие ординату точки С,абцисса которой равна 5. Помогите пожалуйста решить
Ответы
Ответ дал:
0
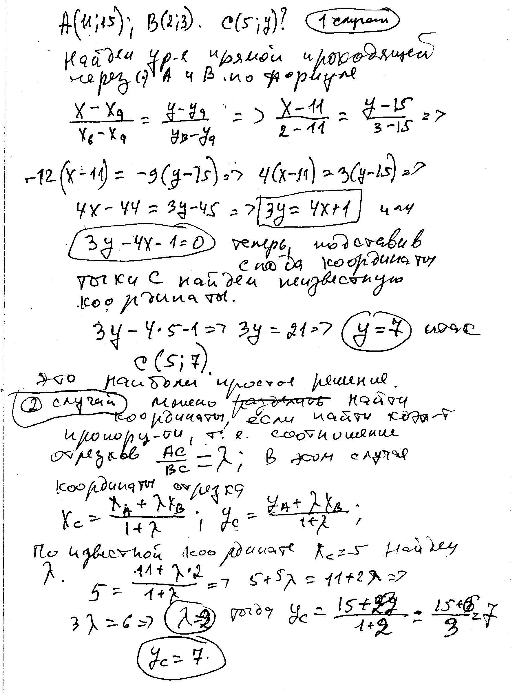
На прямой, проходящей через точки А(11;15) и В(2;3) ,найдите ординату точки С абсцисса которой равна 5
Есть еще способы. Например построить прямую через точки А и В и найти на ней координаты. Но он не универсален и не слишком точен.
Можно выразить длины отрезков АС и ВС и сложив их получить длину отрезка АВ (она равна 15) Но это нудный способ.
В скане два наиболее простых и не громоздких способа. Первый из них вполне школьный.
Есть еще способы. Например построить прямую через точки А и В и найти на ней координаты. Но он не универсален и не слишком точен.
Можно выразить длины отрезков АС и ВС и сложив их получить длину отрезка АВ (она равна 15) Но это нудный способ.
В скане два наиболее простых и не громоздких способа. Первый из них вполне школьный.
Приложения:

Вас заинтересует
2 года назад
8 лет назад
10 лет назад
10 лет назад
10 лет назад