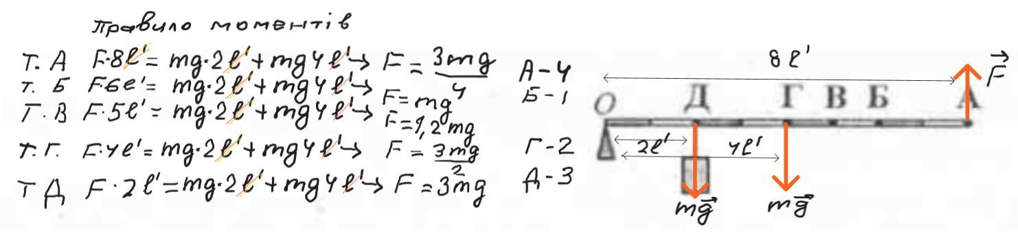
До важеля, маса якого дорівнює m, підпертого в точці O, підвісили тягарець такої самої маси. Важіль утримують у рівновазі, прикладаючи вертикально напрямлену силу. Установіть відповідність між модулем цієї сили та точкою її прикладання.
№11.29 та 11.31
Приложения:

NataliSb:
В мене немає телеги
Ответы
Ответ дал:
1
Відповідь: Див. додаток
Пояснення:
Приложения:


Вас заинтересует
1 год назад
1 год назад
1 год назад
3 года назад
3 года назад
8 лет назад