Ответы
Ответ дал:
1
Ответ:
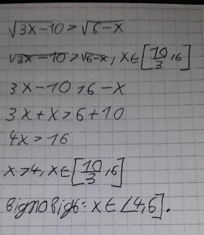
смотри на фото
Объяснение:
подпишись пж
Приложения:

m3889230:
я подписалась. пожалуйста, если у тебя есть время, зайди в мой профиль и ответь на вопросы которые можешь. там тоже алгебра. я там не мало баллов выставила
Вас заинтересует
1 год назад
1 год назад
1 год назад
1 год назад
3 года назад
8 лет назад