• Предмет: Алгебра
  • Автор: alexander22866634343
  • Вопрос задан 2 года назад

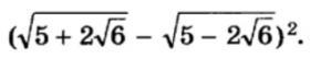
√(5-2√6) - √(5+2√6)^2

Приложения:

Ответы

Ответ дал: radchenkosofi09
0

Ответ:

Объяснение : надо разложить выражения на множители, потом упростить корни, раскрыть скобки, сократить противоположные слагаемые, привести подобные члены, использовать свойства степеня и вычислить

Приложения:
Ответ дал: ulanalevenec970
0

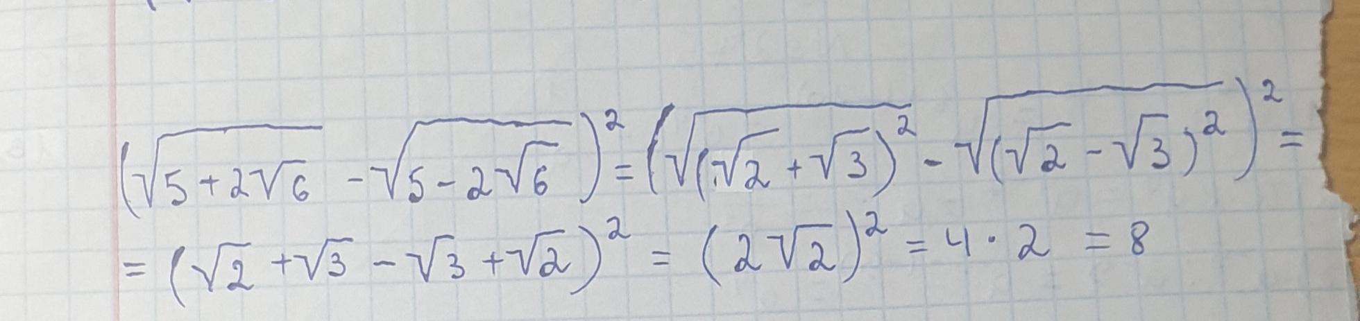
відповідь на фото;)

хай щастить)))

Приложения:
Вас заинтересует