• Предмет: Геометрия
  • Автор: maksnobik205
  • Вопрос задан 2 года назад

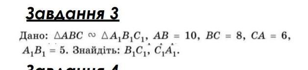
дпоможіть ставлю 50балів​

Приложения:

Ответы

Ответ дал: fleshheap
1

Відповідь:

в1с1= 4
с1а1= 3

Пояснення:

оскільки трикутники подібні отже шукаємо коефіцієнт поділивши  сторону трикутника авс на відповідну їй сторону а1в1с1
ав/а1в1 = 10/5 = 2
к=2
вс/в1с1 = 2    => 8/B1C1 = 2   =>  2B1C1 = 8      => B1C1 = 4
аналогічно с1а1 = 3

Вас заинтересует