• Предмет: Алгебра
  • Автор: vikislf
  • Вопрос задан 2 года назад

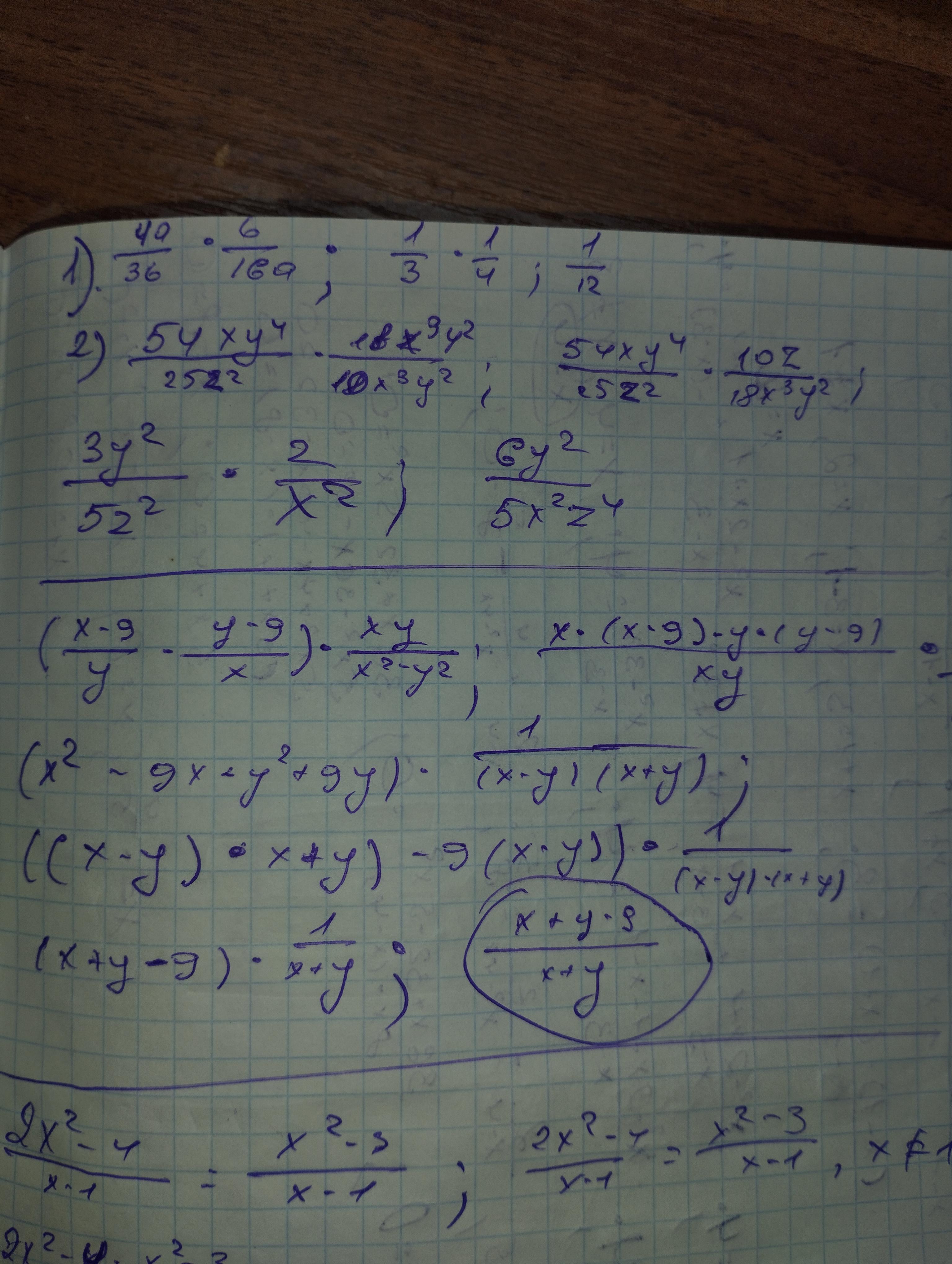
Люди добрые, помогите моему ребёнку. Сидим уже три часа думаем, не можем решить. Моя нервная система уже сдаёт.

Приложения:

Ответы

Ответ дал: ivancomdee7
1

Ответ:

решение смотри на фотографии

Объяснение:

Приложения:
Вас заинтересует