• Предмет: Алгебра
  • Автор: saslivcikprofi
  • Вопрос задан 2 года назад

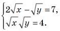
Алгебра 10 класс. Системы иррациональных уравнений просьба помочь

Приложения:

Ответы

Ответ дал: elusimova2008
1
Думаю понятно
твтвирутуту
Приложения:

saslivcikprofi: Огромное тебе спасибо
Вас заинтересует