• Предмет: Алгебра
  • Автор: 0971485285af
  • Вопрос задан 2 года назад

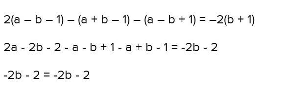
Добведіть тотожність
ДОПОМОЖІТЬ БУДЬ ЛАСКА СРОЧНО ДУЖЕ ТРЕБА ​

Приложения:

Ответы

Ответ дал: kairzanaruzan8
0

Объяснение:

Вот правильный ответ делала

Приложения:
Вас заинтересует