• Предмет: Алгебра
  • Автор: aowndi
  • Вопрос задан 2 года назад

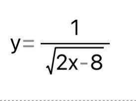
знайти область визначення функції, допоможіть, будь ласка(на фото)

Приложения:

Ответы

Ответ дал: lizziss
1

Объяснение:

2x - 8 ≠ 0

2x ≠ 8

x ≠ 4

Область визначення функції — всі числа окрім 4

Вас заинтересует