• Предмет: Алгебра
  • Автор: artemcrezy2000
  • Вопрос задан 2 года назад

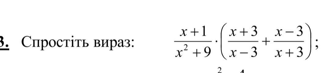
ДАЮ 50 БАЛОВ!!!!!!!!!!!!

Приложения:

Ответы

Ответ дал: Flakan
0

Ответ:

В прикреплённом файле ответ

Приложения:

artemcrezy2000: Спс
Flakan: Незачто
Вас заинтересует
3 года назад