• Предмет: Алгебра
  • Автор: vikiashveider
  • Вопрос задан 2 года назад

Знайдіть суму п'яти перших членів геометричної прогресії 6;12; ... .
!!!!!!прошу помогите это срочно!!!!!

Ответы

Ответ дал: maksikhdjdj
1

Ответ:186

Объяснение:

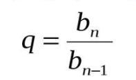
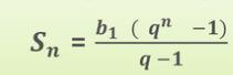
Підставляємо формули

q = 12/6=2

S{5}=\frac{6(2^{5}-1 )}{2-1}=\frac{6*31}{1} =186

Відповідь: 186

Приложения:
Вас заинтересует