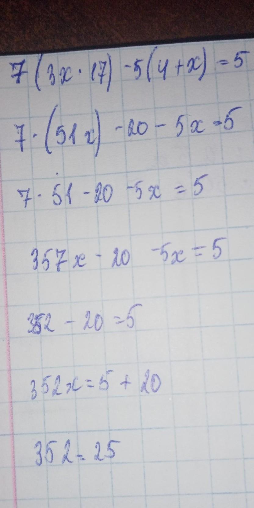
5. Розв'яжіть рівняння: 7(3x17)-5(4+ x) = 5; даю 10 балів
adragancuk560:
А там знак не пропущений? Передивився уважно приклад
Ответы
Ответ дал:
1
Объяснение:
надеюсь решила правильно
Приложения:

Вас заинтересует
1 год назад
1 год назад
1 год назад
3 года назад
3 года назад
8 лет назад
8 лет назад