• Предмет: Математика
  • Автор: nurzatjaparova32
  • Вопрос задан 2 года назад

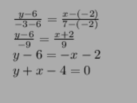
Составить уравнение прямой проходящей через точку М1 ( 6; 3) М2 (0; -4)

Ответы

Ответ дал: alesaak524
0

Пошаговое объяснение:

вот так вроде лично у меня получилось

Приложения:
Вас заинтересует