• Предмет: Алгебра
  • Автор: AnnSwan
  • Вопрос задан 11 лет назад

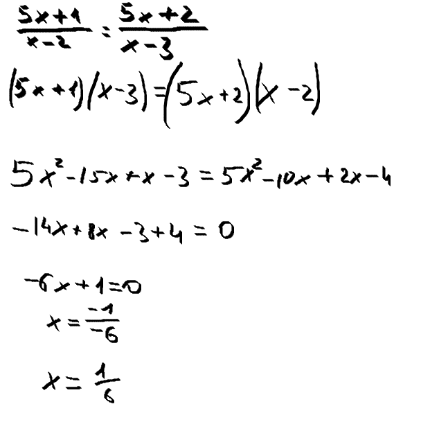
Решите дробное иррациональное уравнение, пожалуйста

Приложения:

Ответы

Ответ дал: блаблаблаалбалбалб
0
///////////////////////////////
Приложения:
Вас заинтересует