• Предмет: Алгебра
  • Автор: 13angelina04
  • Вопрос задан 2 года назад

ПОЖАЛУЙСТА ПОМОГИТЕ!!!!​

Приложения:

Ответы

Ответ дал: qq0o
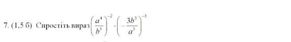
1

(\frac{b ^{3}}{a ^{4} } )^{2} *(-\frac{a ^{3} }{3b^{3} } )^{3} =\frac{b ^{6} }{a ^{8} } *(-\frac{a^{9} }{^{27b ^{9} } } )=

=-\frac{a ^{9} }{27b ^{9} } *\frac{b ^{6} }{a ^{8} } =-\frac{a}{27b ^{3} }

Вас заинтересует