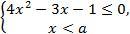
ТЕРМІНОВО!!!!!!! Для кожного значення а розв’яжіть систему нерівностей
Приложения:

pidorrjtjfjf:
Сам реши
Ответы
Ответ дал:
2
Ответ: ответ на картинке
Объяснение:
Приложения:

Вас заинтересует
1 год назад
1 год назад
1 год назад
3 года назад
8 лет назад