• Предмет: Геометрия
  • Автор: palienkoliza0
  • Вопрос задан 2 года назад

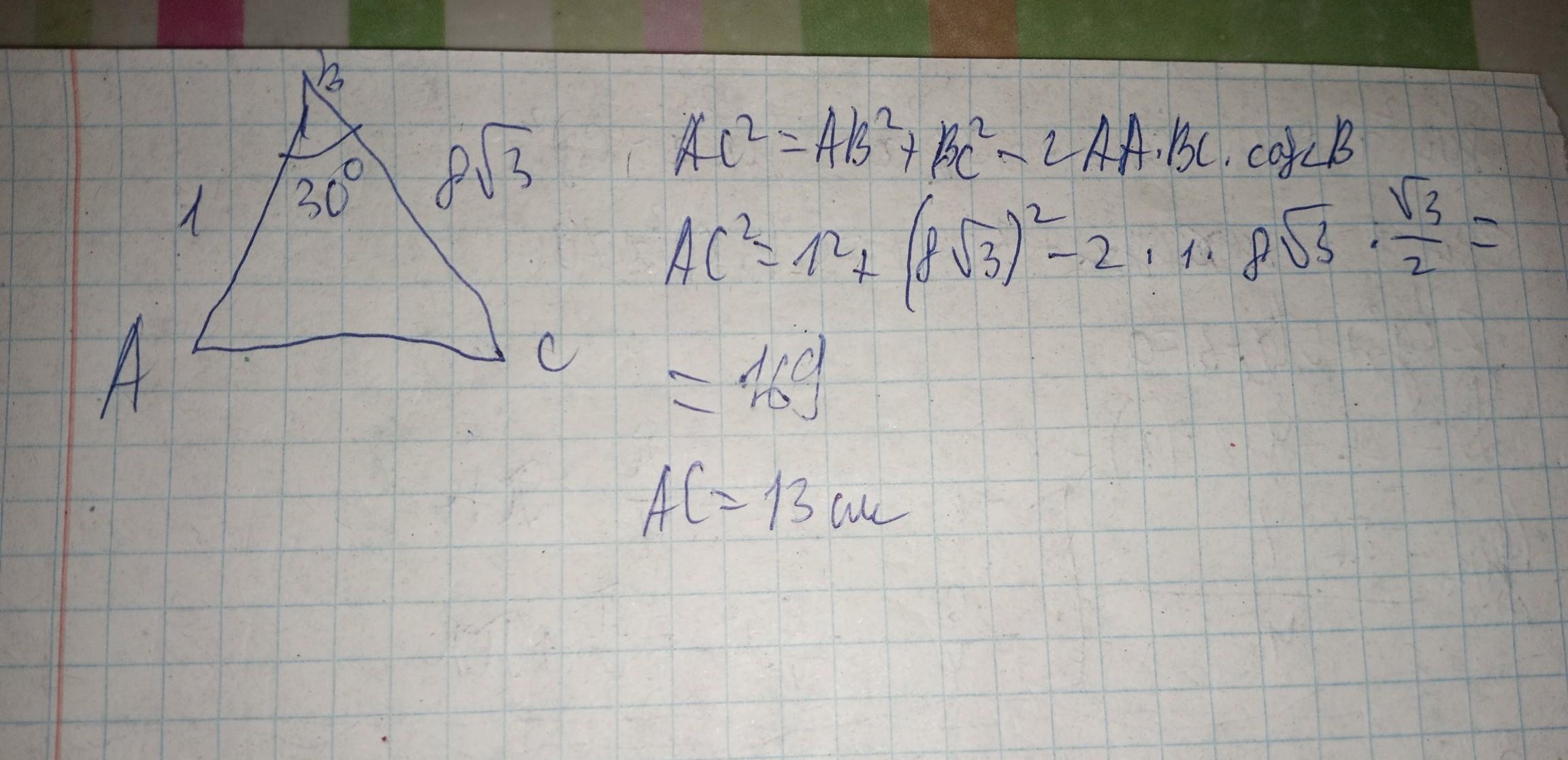
дві сторони трикутника дорівнюють 1 см і 8√3 см а кут між ними 30​

Приложения:

Ответы

Ответ дал: negr6615
0

Объяснение:

Вот. Это по теореме косинусов

Приложения:
Вас заинтересует