• Предмет: Математика
  • Автор: cetverikovaevgenia87
  • Вопрос задан 2 года назад

5x^2-4x-4=0


Срооооооочно прошу ​

Ответы

Ответ дал: lizapolish
0

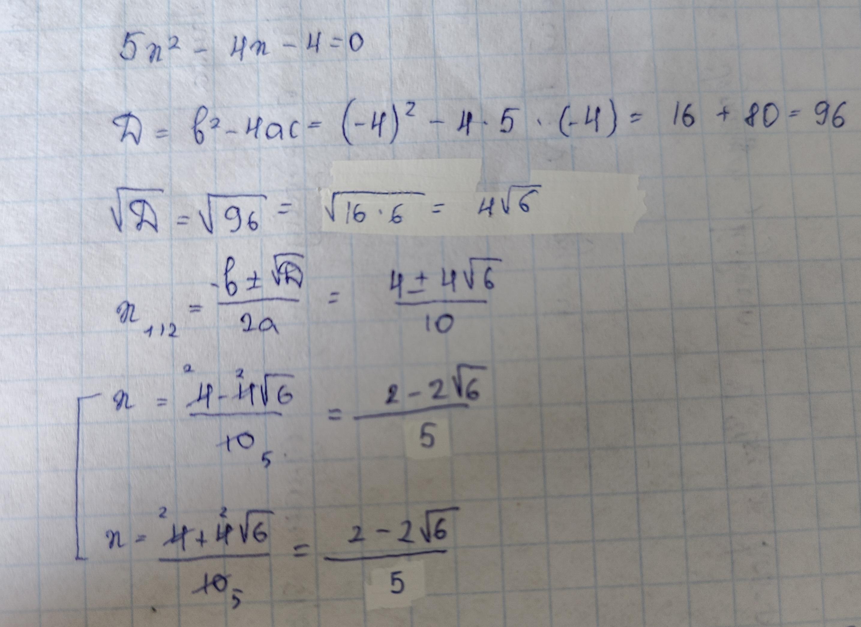
Ответ: Вот пошагово.

Приложения:
Ответ дал: iramazurk
1

Пошаговое объяснение:

5х² - 4х - 4 = 0

а = 5; в = -4; с = -4

Д = в² - 4ас

Д = (-4)² - 4 * 5 * (-4) = 16 + 80 = 96

Д = 96

х1 = (-в-√Д)/2а

х1 = (4-√96)/(2*5) = (4-√96)/10 = (4-4√6)/10 =

(2 - 26)/5

х2 = (+Д)/2а

х2 = (4+√96)/(2*5) = (4+√96)/10 = (4+4√6)/10 =

(2+26)/5

Вас заинтересует