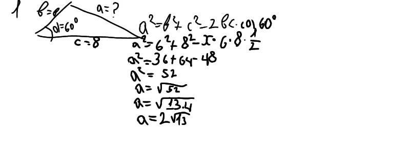
Ответы
Ответ:
2.не знаю
3.угол А и С равны 25°
4.прямокутнык
5.
▲ ABC
textless B = 120K
AC = 28cM
AB = x
BC = x + 8
Воспользуемся теоремой косинусов: AC^ 2 = A * B ^ 2 + B * C ^ 2 -2*AB*BC* cos backslash textlessB
28^ 2 = x ^ 2 + (x + 8) ^ 2 -2*x*(x+8)*
cos120K
784= x ^ 2 + x ^ 2 + 16x + 64 -2*x*(x+
8)* (- 0.5)
784 = 2x ^ 2 + 16x + 64 + x ^ 2 + 8a
3x ^ 2 + 24x - 720 = 0 x ^ 2 + 8x - 240 = 0
D = 8 ^ 2 - 4 * 1(- 240) = 1024 = 32 ^ 2
x 1 = - 8 + 32 = 12 x_{2} = (- 8 - 32)/2 * textless * 0 - He
удовлетворяет условию
AB = 12
BC = 12 + 8 = 20
AC = 28
P ABC =AB+BC+AC
P ABC =12+20+28=60 cM
Ответ: 60 см
6.
в треугольнике АВС ВС = √3см, АС = √2см, <B = 45° Найти угол А. Сколько решений имеет задача?
Объяснение:
По т. синусов "Стороны треугольника
пропорциональны синусам противолежащих углов - sinA= 13 12 1* 2 имеем = /3
AC sin B
BC sin A
√2
2
<A=60° или <A=120°, т.к синусы этих углов равны.
 
                            