• Предмет: Алгебра
  • Автор: lovepolinachka
  • Вопрос задан 2 года назад

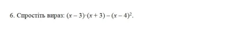
Спростіть вираз будь ласка​

Приложения:

Ответы

Ответ дал: mayabeksimernicniklo
1

Ответ:

-25+8x

Объяснение:

упрощаем ,раскрываем скобки ,сокращаем противоположные и вот ответ

Приложения:
Вас заинтересует