• Предмет: Алгебра
  • Автор: fishgrow
  • Вопрос задан 2 года назад

С розв'язанням даю 100 балов

Приложения:

Ответы

Ответ дал: Universalka
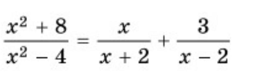
1

\displaystyle\bf\\\frac{x^{2} +8}{x^{2} -4} =\frac{x}{x+2} +\frac{3}{x-2} \\\\\\\frac{x^{2} +8}{(x -2)(x+2)} -\frac{x}{x+2} -\frac{3}{x-2} =0\\\\\\\frac{x^{2} +8-x\cdot(x-2)-3\cdot(x+2)}{(x-2)(x+2)} =0\\\\\\\frac{x^{2}+8-x^{2} +2x-3x-6 }{(x-2)(x+2)} =0\\\\\\\frac{-x+2}{(x-2)(x+2)} =0\\\\\\\left \{ {{-x+2=0} \atop {x-2\neq 0 \ ; \ x+2\neq 0}} \right. \\\\\\\left \{ {{x=2} \atop {x\neq 2 \ ; \ x\neq -2}} \right.

Ответ : корней нет


fishgrow: Надо ещё 100 балов?
fishgrow: У меня ещё задача есть
Вас заинтересует