• Предмет: Алгебра
  • Автор: markaaaaaa
  • Вопрос задан 2 года назад

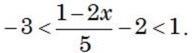
Розв'яжіть нерівність

Приложения:

Ответы

Ответ дал: mariakiceluk5
0

Ответ:

на фото

...

Приложения:
Вас заинтересует