• Предмет: Алгебра
  • Автор: samasama11114
  • Вопрос задан 2 года назад

Помогите решить примеры (x²+9)²-36x²
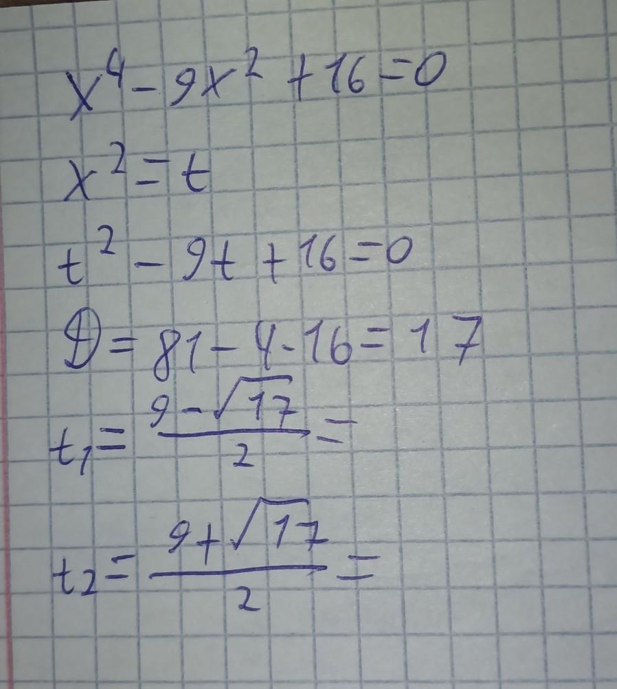
x⁴-9x²+16

Ответы

Ответ дал: del4f2
0

Объяснение:

первый я смог решить а второй чет не пошло,всё что я смог

Приложения:
Вас заинтересует