• Предмет: Математика
  • Автор: qiisxnsjanzmmz
  • Вопрос задан 2 года назад

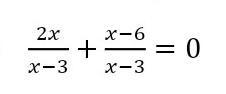
алгебра алгебра алгебра алгебра алгебра алгебра алгебра алгебра алгебра алгебра алгебра алгебра алгебра алгебра алгебра алгебра алгебра алгебра алгебра алгебра алгебра алгебра алгебра алгебра алгебра алгебра алгебра алгебра алгебра алгебра алгебра алгебра алгебра алгебра алгебра алгебра алгебра алгебра алгебра алгебра алгебра алгебра алгебра алгебра алгебра алгебра алгебра алгебра алгебра алгебра алгебра алгебра алгебра алгебра алгебра алгебра ​

Приложения:

Ответы

Ответ дал: Gghvtu
5

вот ответ ..................

Приложения:

YmniyDinosaur: ви б могли допомогти мені з алгеброю будь ласка дуже терміново
discordicccc: помогите с алгеброй пж
Вас заинтересует