• Предмет: Алгебра
  • Автор: guldara2106
  • Вопрос задан 2 года назад

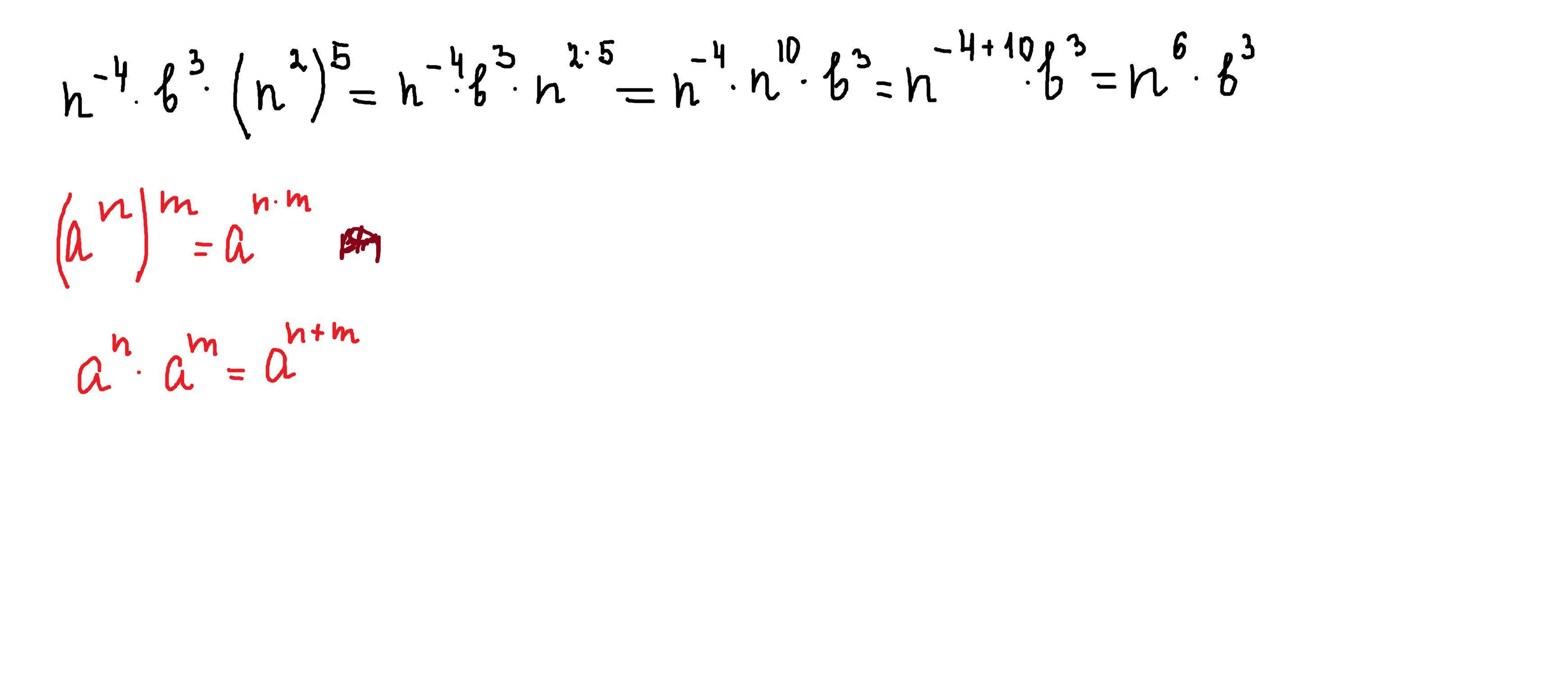
помогите пожалуйста надо полное описание ​

Приложения:

Ответы

Ответ дал: parus77
1

Ответ:

Объяснение:

решение внизу

Приложения:
Вас заинтересует