• Предмет: Физика
  • Автор: ania2004yaroshenko
  • Вопрос задан 2 года назад

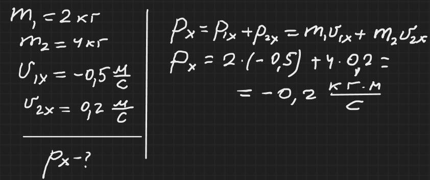
Два тіла масами m1 = 2 кг та m1 = 4 кг рухаються, що проекції їхніх швидкостей на вісь OX дорівнюють v1x = -0,5 м/с та v2x = 0,2 м/с відповідно. Обчислити проекцію на вісь OX імпульсу системи (кг·м/с).

Ответы

Ответ дал: zybkov1950
1

Відповідь: - 0,2 кг·м/с

Пояснення:

Приложения:

beisekeiaygerim08: Здравствуйте можете пожалуйста помочь решить задачу по физике у меня в профиле.
Вас заинтересует