• Предмет: Алгебра
  • Автор: 16Sergey16
  • Вопрос задан 2 года назад

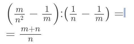
Довести тотожність ( Укр)
Доказать тождество (Рус)

Приложения:

Ответы

Ответ дал: annaartemchuk0000
0

Объяснение:

Вроде как там! Если не так то сори:)

Приложения:
Ответ дал: maximych52
1

Чтобы доказать тождество, преобразуем левую часть равенства так, чтобы она поравнялась с правой

( \frac{m}{ {n}^{2} }  -  \frac{1}{m} ) \div ( \frac{1}{n}  -  \frac{1}{m} ) =  \frac{ {m}^{2} -  {n}^{2}  }{m {n}^{2} }  \div  \frac{m - n}{mn}  = \frac{ ({m}^{2} -  {n}^{2}) \times mn  }{m {n}^{2} \times (m - n) }   =  \frac{mn(m - n)(m + n)}{m {n}^{2} (m - n) }  =  \frac{m + n}{n}

Что и требовалось доказать

Вас заинтересует