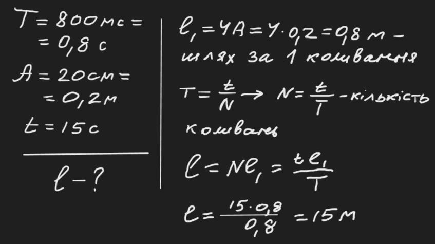
Поплавок здійснює незатухаючі коливання у воді, період яких 800 мс. Амплітуда
коливань 20 см. Який шлях пройде поплавок за 15 с? Потрібне рішення, як записати в Дано. 90 балів даю
Ответы
Ответ дал:
2
Відповідь: 15 м
Пояснення:
Приложения:

mkakakaka76:
Дякую!
Вас заинтересует
1 год назад
1 год назад
3 года назад
8 лет назад